BST 二叉搜索树

二叉搜索树的定义如下:

一个二叉搜索树是一棵二叉树,它可以为空。如果不为空,它将满足以下性质:

(1). 非空左子树的所有键值小于其根节点的键值;
(2). 非空右子树的所有键值大于其根节点的键值;
(3). 左、右子树都是二叉搜索树。

下面给出二叉搜索树的 C 语言实现。

文件结构如下:

.
├── fatal.h
├── main
├── main.c
├── tree.c
└── tree.h

0 directories, 5 files

tree.h

1
2
3
4
5
6
7
8
9
10
11
12
13
14
15
16
17
18
19
20
21
typedef int ElementType;

/* START: fig4_16.txt */
#ifndef _Tree_H
#define _Tree_H

struct TreeNode; // 定义结构体节点
typedef struct TreeNode *Position; // 指向节点的指针
typedef struct TreeNode *SearchTree; // 指针,表示搜索树,是搜索树的根节点

SearchTree MakeEmpty( SearchTree T );
Position Find( ElementType X, SearchTree T );
Position FindMin( SearchTree T );
Position FindMax( SearchTree T );
SearchTree Insert( ElementType X, SearchTree T );
SearchTree Delete( ElementType X, SearchTree T );
ElementType Retrieve( Position P );

#endif /* _Tree_H */

/* END */

tree.c

1
2
3
4
5
6
7
8
9
10
11
12
13
14
15
16
17
18
19
20
21
22
23
24
25
26
27
28
29
30
31
32
33
34
35
36
37
38
39
40
41
42
43
44
45
46
47
48
49
50
51
52
53
54
55
56
57
58
59
60
61
62
63
64
65
66
67
68
69
70
71
72
73
74
75
76
77
78
79
80
81
82
83
84
85
86
87
88
89
90
91
92
93
94
95
96
97
98
99
100
101
102
103
104
105
106
107
108
109
110
111
112
113
114
115
116
117
118
119
120
121
122
123
124
125
126
127
128
129
130
131
132
133
134
135
136
137
138
139
140
141
142
#include "tree.h"
#include <stdlib.h>
#include "fatal.h"

struct TreeNode
{
ElementType Element; // 树节点存储的元素
SearchTree Left; // 左子树
SearchTree Right; // 右子树
};

/* START: fig4_17.txt */
// 建立一棵空树
SearchTree
MakeEmpty(SearchTree T)
{
if (T != NULL)
{
MakeEmpty(T->Left); // 递归删除左子树
MakeEmpty(T->Right); // 递归删除右子树
free(T); // 释放该节点
}
return NULL;
}
/* END */

/* START: fig4_18.txt */
// 二叉搜索树的查找操作
Position
Find(ElementType X, SearchTree T)
{
if (T == NULL)
return NULL;
if (X < T->Element) // 如果待查找元素比根节点小,那么递归查找左子树
return Find(X, T->Left);
else if (X > T->Element) // 如果待查找元素比根节点大,那么递归查找右子树
return Find(X, T->Right);
else
return T;
}
/* END */

/* START: fig4_19.txt */
// 查找最小元素,即找出最左边的叶子节点
Position
FindMin(SearchTree T)
{
if (T == NULL)
return NULL;
else if (T->Left == NULL)
return T;
else
return FindMin(T->Left);
}
/* END */

/* START: fig4_20.txt */
// 查找最大值
Position
FindMax(SearchTree T)
{
if (T != NULL)
while (T->Right != NULL)
T = T->Right;

return T;
}
/* END */

/* START: fig4_22.txt */
// 插入操作
SearchTree
Insert(ElementType X, SearchTree T)
{
/* 1*/ if (T == NULL)
{
/* Create and return a one-node tree 创建并返回一个单节点树 */
/* 2*/ T = malloc(sizeof(struct TreeNode));
/* 3*/ if (T == NULL)
/* 4*/ FatalError("Out of space!!!"); // 空间用尽的情况
else
{
/* 5*/ T->Element = X; // 赋值
/* 6*/ T->Left = T->Right = NULL; // 左右子树置空
}
} else
/* 7*/ if (X < T->Element)
/* 8*/ T->Left = Insert(X, T->Left); // 递归寻找合适的插入位置
else
/* 9*/ if (X > T->Element)
/*10*/ T->Right = Insert(X, T->Right);
/* Else X is in the tree already; we'll do nothing */

/*11*/ return T; /* Do not forget this line!! */
}
/* END */

/* START: fig4_25.txt */
// 删除操作
SearchTree
Delete(ElementType X, SearchTree T)
{
Position TmpCell;

// 寻找节点
if (T == NULL)
Error("Element not found");
else if (X < T->Element) /* Go left */
T->Left = Delete(X, T->Left);
else if (X > T->Element) /* Go right */
T->Right = Delete(X, T->Right);
else /* Found element to be deleted 找到了该删除的节点 */
{
if (T->Left && T->Right) /* Two children 有两个孩子 */
{
/* Replace with smallest in right subtree 用右子树中最小的节点进行替换 */
TmpCell = FindMin(T->Right); // 找出右子树中最小的节点
T->Element = TmpCell->Element; // 替换
T->Right = Delete(T->Element, T->Right); // 删除刚刚的那个在右子树中最小的节点
} else /* One or zero children 有 1 个或者 0 个孩子 */
{
TmpCell = T;
if (T->Left == NULL) /* Also handles 0 children */
T = T->Right; // 如果左子树为空,那么将 T 更新为右子树,下同
else if (T->Right == NULL)
T = T->Left;
free(TmpCell); // 释放原来的 T 节点
}
}


return T;
}

/* END */

// 取出 Position P 中的元素
ElementType
Retrieve(Position P)
{
return P->Element;
}

main.c(testtree.c,测试函数)

1
2
3
4
5
6
7
8
9
10
11
12
13
14
15
16
17
18
19
20
21
22
23
24
25
26
27
28
29
30
31
32
33
34
#include "tree.h"
#include <stdio.h>

int main( )
{
SearchTree T;
Position P;
int i;
int j = 0;

T = MakeEmpty( NULL ); // 创建一棵空树
for( i = 0; i < 50; i++, j = ( j + 7 ) % 50 ) // 将 50 个数插入树中
T = Insert( j, T );
for( i = 0; i < 50; i++ )
if( ( P = Find( i, T ) ) == NULL || Retrieve( P ) != i ) // 测试查找函数
printf( "Error at %d\n", i );

for( i = 0; i < 50; i += 2 )
T = Delete( i, T ); // 以 1 为步长,作删除操作

// 测试删除操作是否成功
for( i = 1; i < 50; i += 2 )
if( ( P = Find( i, T ) ) == NULL || Retrieve( P ) != i )
printf( "Error at %d\n", i );
for( i = 0; i < 50; i += 2 )
if( ( P = Find( i, T ) ) != NULL )
printf( "Error at %d\n", i );

// 打印最大数和最小数
printf( "Min is %d, Max is %d\n", Retrieve( FindMin( T ) ),
Retrieve( FindMax( T ) ) );

return 0;
}

测试结果:

20201015170025

定义错误的头文件 fatal.h

1
2
3
4
5
#include <stdio.h>
#include <stdlib.h>

#define Error(Str) FatalError( Str )
#define FatalError(Str) fprintf( stderr, "%s\n", Str ), exit( 1 )

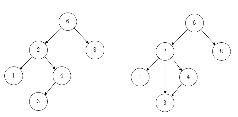
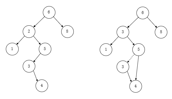
注:关于删除的操作的图解,用来备忘

删除具有 1 个儿子的节点 4 的前后情况:

20201015165134

删除具有 2 个儿子的节点 2 的前后情况:

20201015165708


BST 二叉搜索树
http://fanlusky.github.io/2021/11/26/BST-二叉搜索树/
作者
fanlusky
发布于
2021年11月26日
许可协议